今年秋季

海南高校专业招生有何变化

有哪些专业“上新”

记者了解到,在教育部公布的2022年度普通高等学校本科专业备案和审批结果中,海南高校新增备案本科专业16个、审批本科专业4个。

海南大学:

在全国率先开设乡村治理专业

中山大学中外合作办学专业_中山大学中外合办_中山大学中外合作项目

记者从海南大学了解到,海南大学新增备案本科专业2个,分别为化学和新媒体技术,新增审批专业为乡村治理。该校在全国率先开设乡村治理专业,并已确定今年招生计划,拟招本科生480人。

“海南大学是全国首个开设乡村治理专业的高校。”海南大学农业农村学院(乡村振兴学院)与应用科技学院相关负责人吴平表示,该专业的开设,是海南大学“新农科”建设需要,为打破学科壁垒、促进学科融合、推动交叉学科发展奠定了基础。未来,海南大学将进一步优化专业设置,开设和培育“海南急需,国家一流”的新专业,为海南自贸港建设提供人才支持。

2023年本科招生计划为:乡村治理专业招480人,农艺教育专业招280人,总共760人。

此外,海南大学新增观澜湖校区。该校区今年9月启用,办学规模为8000多人。

海南医学院:

开设3个中外合作办学本科专业

中山大学中外合作项目_中山大学中外合作办学专业_中山大学中外合办

记者从海南医学院获悉,2023年该校面向全省设置34个招生专业,共招994人。相较往年,今年新设眼视光医学、生物统计学两个普招专业,另与英国西英格兰大学合作开设3个中外合作办学专业,分别是医学影像技术、康复治疗学、护理学。

据该校招生办马老师介绍,眼视光医学专业是一门兼具医学与理学的新办临床类专业。该专业配备涵盖中山大学中山眼科中心、香港理工大学、约翰霍普金斯大学等国内外优质眼视光医学专业师资。

“当前,我国眼视光医学专业人才缺口超过18万。”马老师说道,该专业毕业生可考硕考博,或从事科研事业。

此外,该校与英国西英格兰大学合作,今年开设三个中外合作办学本科专业,包括医学影像技术、康复治疗学和护理学。本科优秀学生通过评估后可推免获得海医西英格兰学院硕士项目入学资格。

琼台师范学院:

新增3个本科专业 今年秋季招生

中山大学中外合作项目_中山大学中外合作办学专业_中山大学中外合办

琼台师范学院新增备案本科专业3个,分别为化学、舞蹈表演、环境设计;3个专业的学位授予门类分别为理学、艺术学、艺术学。新增3个专业今年秋季开始招生。

3个本科新专业的成功获批,进一步优化了琼台师范学院学科专业结构,丰富了该校教学资源。

琼台师范学院有关负责人表示,该校将持续优化专业结构。对标基础教育教师的专业缺口,以问题和市场为导向,进一步提高服务站位,优化专业结构,调整招生计划,提高培养质量,为各市县学校“订单式”培养优秀教师。深入实施“876”战略,即80%的学生就读师范专业、70%的毕业生留在海南就业、60%的学生从事教师行业。

海口经济学院:

新增审批本科专业

为航空服务艺术与管理专业

中山大学中外合作办学专业_中山大学中外合办_中山大学中外合作项目

记者了解到,海口经济学院新增备案本科专业为音乐学,新增审批本科专业为航空服务艺术与管理专业。

音乐学专业主要研究音乐学、音乐史、音乐行为、音乐教育等方面的基本知识和技能,涉及声乐、器乐、民乐、作曲等多个方面。

航空服务艺术与管理专业培养从事空中服务工作的专业人员,该专业学生毕业后可在航空公司担任民航乘务员、民航安全员、机务人员等。

三亚学院:

新增备案本科专业10个

中山大学中外合作项目_中山大学中外合作办学专业_中山大学中外合办

记者从三亚学院了解到,三亚学院新增备案本科专业10个,分别为保险学、投资学、思想政治教育、翻译、新能源科学与工程、虚拟现实技术、区块链工程、医学检验技术、跨境电子商务、数字媒体艺术。今年9月即将迎来第一批新生。

三亚学院相关负责人表示,新增专业瞄准海南自贸港建设的人才需求,精心遴选申报专业目录。

其中新能源科学与工程以海南自贸港聚焦发展高新技术产业为契机,新能源科学与工程专业将满足海南省自贸港建设对清洁能源人才的迫切需求,并填补海南省急需新能源专业空白。

虚拟现实技术专业重点满足海南自贸港在教育、医疗、制造、游戏、影视动漫等产业领域的人才需求。

区块链工程专业服务“链上海南”计划,赋能海南自贸港建设,是海南省重点发展信息技术的急需专业,本专业紧密结合区块链行业社会需求,服务海南数字经济区域经济发展需要和行业技术发展方向。

医学检验技术为海南自贸港建设,特别是医疗健康产业集群发展提供人才支持,为海南生态岛、健康岛、长寿岛建设作出应有的贡献。

中山大学中外合办_中山大学中外合作项目_中山大学中外合作办学专业

增设21种新专业!本科专业目录更新

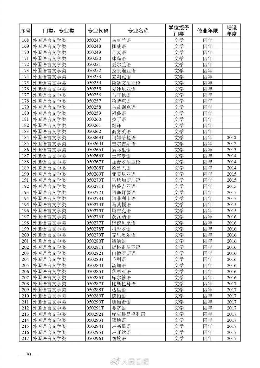
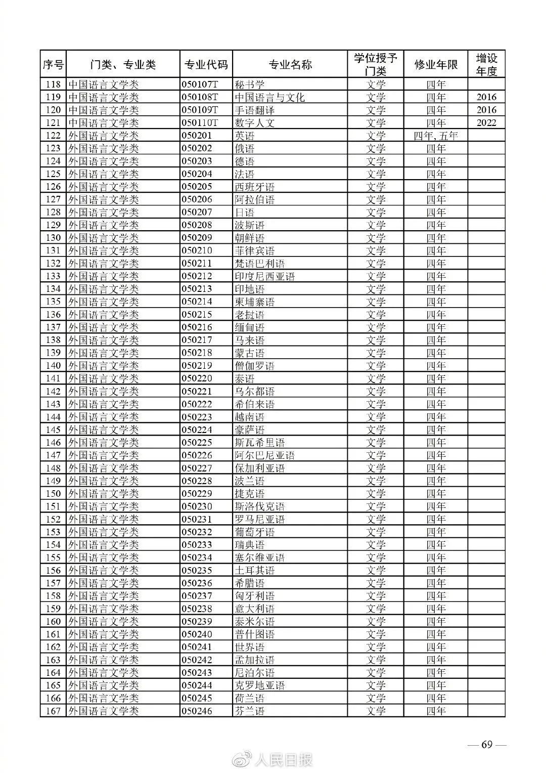
日前,教育部公布了2022年度普通高等学校本科专业备案和审批结果,新增备案专业1641个、审批专业176个(含150个国家控制布点专业和21种、26个目录外新专业),调整学位授予门类或修业年限专业点62个。本次备案、审批和调整的专业,将列入相关高校2023年本科招生计划。另对部分高校申请撤销的925个专业点予以备案。

教育部积极引导高校开设国家战略和区域发展急需的相关专业,此次新增了地球系统科学、生物统计学、未来机器人、安全生产监管、国家公园建设与管理、医工学、乡村治理、家庭教育、无障碍管理等21种新专业,并正式纳入《普通高等学校本科专业目录》。为支持高校积极探索推进学科专业交叉融合,培养复合型拔尖创新人才,首次在工学门类下增设交叉工程专业类。截至目前,本科专业目录共包含93个专业类、792种专业。

据统计,此次专业增设、撤销、调整共涉及2800余个专业布点,占目前专业布点总数的4.5%。从学科门类看,工学所涉专业数量最多,有1074个;从区域布局看,涉及中西部高校的专业有1503个,占比超过50%。本科专业类型结构和区域布局结构进一步优化,高校主动服务经济社会发展的意识和能力进一步增强。

中山大学中外合作项目_中山大学中外合办_中山大学中外合作办学专业

中山大学中外合办_中山大学中外合作项目_中山大学中外合作办学专业

中山大学中外合办_中山大学中外合作办学专业_中山大学中外合作项目

中山大学中外合办_中山大学中外合作办学专业_中山大学中外合作项目

中山大学中外合作办学专业_中山大学中外合办_中山大学中外合作项目

中山大学中外合作项目_中山大学中外合作办学专业_中山大学中外合办

中山大学中外合作办学专业_中山大学中外合作项目_中山大学中外合办

中山大学中外合作项目_中山大学中外合作办学专业_中山大学中外合办

中山大学中外合办_中山大学中外合作办学专业_中山大学中外合作项目

中山大学中外合作项目_中山大学中外合作办学专业_中山大学中外合办

中山大学中外合办_中山大学中外合作办学专业_中山大学中外合作项目

中山大学中外合作办学专业_中山大学中外合作项目_中山大学中外合办

中山大学中外合作项目_中山大学中外合作办学专业_中山大学中外合办

中山大学中外合办_中山大学中外合作办学专业_中山大学中外合作项目

中山大学中外合作办学专业_中山大学中外合办_中山大学中外合作项目

中山大学中外合作办学专业_中山大学中外合办_中山大学中外合作项目

中山大学中外合作项目_中山大学中外合办_中山大学中外合作办学专业

中山大学中外合作项目_中山大学中外合作办学专业_中山大学中外合办

你对哪个专业感兴趣?

———END———
限 时 特 惠: 本站每日持续更新海量各大内部创业教程,永久会员只需109元,全站资源免费下载 点击查看详情
站 长 微 信: nanadh666

声明:1、本内容转载于网络,版权归原作者所有!2、本站仅提供信息存储空间服务,不拥有所有权,不承担相关法律责任。3、本内容若侵犯到你的版权利益,请联系我们,会尽快给予删除处理!