
透过大数据分析川普个人推特的推文,结果十分惊人。
若要形容甫就任美国第45任总统的川普(),“推特狂人”肯定是个不会被遗忘的说法。
川普靠着他的推文,在总统选战中喂养着成千上万的网民,并凝聚了一股坚不可摧的势力,最终庞大的隐性网民也透过选票让他在选战中胜出,跌破一票民调专家的眼镜。
若要来分析选赢的关键因素,他对于个人推特账号(@)的经营,功不可没。不过这一切都是他一个人办到的吗?
源起
网友发现,川普个人推特账号的发文,其实来自两种不同装置,分别是以及手机,并认为“言词激烈”的推文都来自手机;发言内容比较正常的,都来自。
这一点,引发了数据分析师的注意。他也发现,川普发表祝贺内容时,是透过;而用来抨击选战对手时,则是透过手机。
到底川普个人推特推文的差异,从何而来?这些推文是不是由他一个人包办,透过大数据分析,一切都无法隐藏。

网友发现川普推文分别来自与手机端,且发文内容风格迥异。
发文时间对比
将川普推特的推文导入分析工具、并去除少数透过网页端、iPad所发的推文,仅留下透过、手机推文的数据后,留下来自的628条推文,以及来自手机的762条推文。将发文时间纳入分析后发现:
川普习惯在早上发推文;而他的助理或团队习惯在下午或晚上发推文。

就推文时间分析来看,可看出来自手机的推文时间大多落在早上,与来自端的推文时间区间不同。
发文习惯对比
转发推文部分,来自手机的推文,习惯用双引号将整句引用的话给包起来(推文中有500多条没有用双引号,200多条有用双引号);而来自的推文,几乎没有用双引号。
川普转推惯用双引号,他的团队则没有这个习惯

川普转发推文多爱用双引号。
从分享网页链接(link)与图片的方面,来自手机与的推文习惯也有所不同。
数据显示,来自的推文大多都会附上图片与link,并且内容多以宣传为主;来自手机的推文,多没有附图以及link,更多的是仅含文字的内容。
川普的推文都以文字为主,少附link以及图片

川普的推文很少用链接以及图片,来自的推文习惯不同,常附图片。
文字对比
就发推文时使用的文字来看,以下是来自手机的推文常见字:

接着来分析一下来自与手机的推文文字:

由此可发现,带有标签(#)的推文基本上来自;推文常见宣传类用词,例如“参加、明天、晚上七点”等;而来自手机的推文,常常包含强烈情绪性字眼,例如“差劲(badly)、疯了(crazy)、软弱(weak)、傻瓜(dumb)”等等。
情感分析
不仅用词有别,来自手机以及所发的推文,在情感上也有很大差异。
透过用到当中的-辞典,数据分析师将推文的用词跟“积极、消极、愤怒、期待、厌恶、恐惧、快乐、悲伤、惊讶、信任”这十种情绪进行了关联分析,结果发现:
手机的推文中(共4901个字),总共有321个字与「愤怒」的情感有关、有207个字与厌恶的情绪有关。
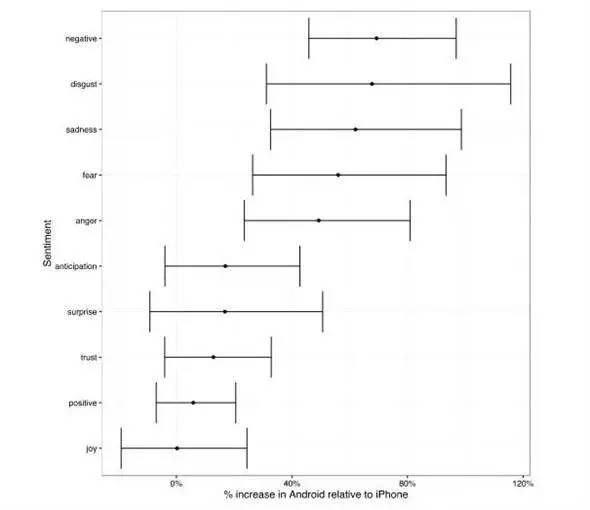
而透过分析后,更可明显发现手机的推文更喜欢使用强烈情绪性的字眼,若透过95%信赖区间来看(下图),就能看出手机推文与推文的不同。
从结果来看,手机端的推文,使用“厌恶、悲伤、恐惧、愤怒”等消极情绪字眼的比例比的推文高出40%~80%。

以95%信赖区间来看来看手机推文与情绪的关联性。

手机推文爱用情绪性字词的比例比推文高出很多。
●总结
从川普个人推特账号的单则推文中,可能看不出个所以然。然而在大数据的分析下,却能很清楚看出脉络。
由上述分析结果可看出,川普个人推特的推文,来自手机的发文与来自的发文,明显是由不同人所写,因为发推时间、推文内容、标签使用率、转发方式都截然不同。
且来自手机的推文也显得更为激烈与消极。
众所周知,川普个人用来发推的行动装置,就是三星的系列手机。
基于上述分析,几乎可以确定来自手机的推文是由川普本人所发;而来自的推文,则应该是出于他助理团队之手。
如果你记忆犹新,在上任之前,川普就曾表示就任总统后最怕的事就是:不能再用他的手机。
因为担心情报走漏的缘故,美国总统都需要使用安全部门提供的加密手机。且据了解,美国前总统奥巴马无法使用他的加密手机来发推文。
而究竟川普是否能在上任后续用他的手机来透过“推特治国”,相信将是未来好一阵子,媒体都将相当关注的焦点。
第三十八届CIO班招生
国际CIO认证培训
首席数据官(CDO)认证培训
———END———
限 时 特 惠: 本站每日持续更新海量各大内部创业教程,永久会员只需109元,全站资源免费下载 点击查看详情
站 长 微 信: nanadh666



