齐鲁网7月2日讯近日,济南中考成绩已经公布,今年在济南市高中录取最低提档线363分以上的考生有37816人,普通高中学校招生计划共计37530人,你的分数能上哪所高中?
济南几大著名高中预估录取线
省实验:462分可以冲
今年大学城实验高中面向济南市招生430人(寄宿),其中指标生215人,统招生215人。相关负责人表示,今年462分以上报省实验中学希望较大,而大学城实验高中的录取分数预计会比省实验中学略低。
山师附中:450分以上可冲,460分以上希望大
幸福柳分校:440分以上可冲
今年,山师附中共招生1500人,比去年减少50人。由两部分构成,一是“山师附中计划”,二是“山师附中幸福柳分校计划”。其中:“山师附中计划”800人(含中美国际课程班60人),比去年减少50人;“山师附中幸福柳分校计划”700人,包含航空特色班60人。均只面向济南市招生。
预测今年450分以上可以冲一冲附中统招生计划,440以上可以冲一冲幸福柳分校计划,460分以上希望大。
济钢高中:440分以上可冲,450分以上希望大
去年济钢高中统招线为509分,对照去年的一分一段表位次应为7047名。对应今年的一分一段表,这个位次对应的分数大致在451分左右。
今年,该校招生计划为1130人,比去年减少50人。而学校相关负责人表示,平行志愿下,440分以上可以冲,450分以上希望大。
历城二中:450分以上可冲,458分以上有希望
去年历城二中统招线为522分,对照去年的一分一段表位次应为3693名,对应今年的一分一段表,这个位次对应的分数大致在460分左右。稼轩学校统招线为518分,对应去年的一分一段表位次应为4732名,对应今年的一分一段表,这个位次对应的分数大致在456分左右。
今年,该校招生计划为1400人,比去年减少50人。学校相关负责人表示,平行志愿下,根据志愿填报“一冲二稳三保底”的原则,第一志愿450分以上可冲一下(含稼轩学校),458分以上有希望。
@济南中考考生,分类招生计划、分数线、一分一段表,您想知道的这里都有!
招生计划
普通高中
全市普通高中学校招生计划共计37530人。
初中后高职
初中后高等职业教育招生计划共计6763人。其中:“3+4”高等教育师范和“3+4”高等职业教育本科计划282人;五年制高等师范教育计划25人,五年制高等职业教育计划2338人;三二连读高职计划4118人。
普通中专
普通中专计划共计2293人。
市属职业中专
市属职业中专招生指导计划共计10968人。
市属技工院校
市属技工院校招生指导计划共计4430人。
录取资格线
普通高中最低录取资格线为363分。
“3+4”高等教育师范、“3+4”高等职业教育最低录取资格线为385分。
五年制高等师范教育最低录取资格线为363分。
五年制高职、三二连读高等职业教育最低录取资格线为150分。
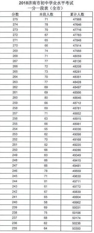
一分一段表
为方便考生填报志愿,中招办在公布各类录取资格线的同时,公布全市及市内七区考生成绩一分一段表。









(综合山东商报 济南教育局)

———END———
限 时 特 惠: 本站每日持续更新海量各大内部创业教程,永久会员只需109元,全站资源免费下载 点击查看详情
站 长 微 信: nanadh666



