江西省位于我国为长江三角洲、珠江三角洲和闽南三角地区的腹地,近几年高考报名人数在50万人左右,高考竞争也是比较激烈的。2022年江西高考成绩已经公布,下面与大家分享江西高考理工类、文史类一分一段表情况。

2022年江西高考参考人数共约46.6万人,其中理工类高考参考人数约25.9万人,文史类高考参考人数20.7万多人。
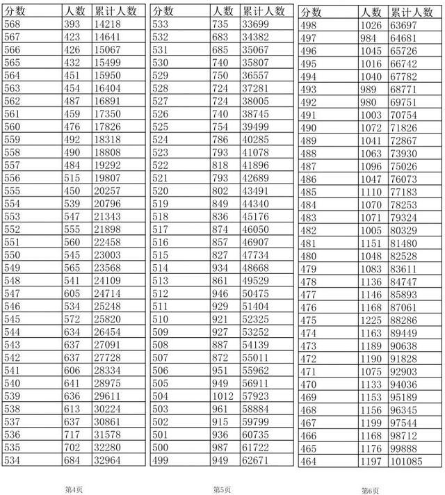
理工类达到二本线440分人数约12.89万人(占参考比例49.8%),达到一本线509分人数约5.3万人(占参考比例20.5%),达到600分以上4956人、650分以上335人。下面是理工类具体分段表:



后面分数略,300分以上累计人,200分以上累计人,101分以上累计人,100分以下6960人。
对比2021年分段表情况,2022年江西省600分以上人数减少了两千多人,预计2022年理工类考生600分以上还是能考985大学的,一些录取分低的985大学有希望捡漏。而610分以上更高分数则有较多985大学和专业可以选择。预计2022年理工类考生570分以上考“双一流”高校也是有不少高校可以选择。

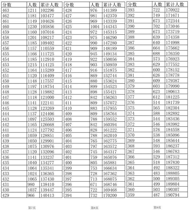
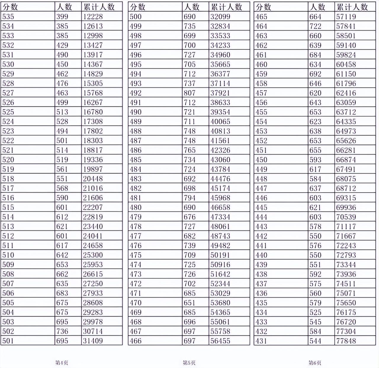
江西省高考2022年文史类参考人数有20.7万多人,达到二本线472分的有约5.2万多人(占参考生比例25.1%),达到一本线529分的约有1.48万人(占参考生比例7.1%),达到600分以上人数有635人。下面是江西省2022年高考文史类一分一段表:


后面分数略,2022年江西省文史类二本上线人数累计27933人,500分以上人数累计32099人,400分以上人数累计95292人,300分以上人数累计人,200分以上人数累计人,101分以上人数累计人,100分以上10345人。

对比2021年江西省一分一段表情况,2021年600分省位次为3411名,而2022年600分省位次仅为635名,600以上超高分段人数减少非常严重。预计2022年文史类考生585分左右就有希望捡漏录取分偏低的985大学(省位次1500名左右),600分以上考985大学有较多院校和专业可以选择。
预计2022年文史类考生570分以上有希望考上“双一流”高校,585分以上有较多“双一流”高校和专业可以选择。
整体来看,江西省理工类考生集中在400分~600分段,而文史类考生集中在200~500分段,可见理工类生源质量更好一些。
注:以上注解为个人分析,仅供参考!
———END———
限 时 特 惠: 本站每日持续更新海量各大内部创业教程,永久会员只需109元,全站资源免费下载 点击查看详情
站 长 微 信: nanadh666



